Οίκοι που διαχειρίζονται περισσότερα από 5 τρισ. δολάρια σκανάρουν τις ελληνικές τράπεζες στο πλαίσιο της έναρξης των συζητήσεων αναβάθμισης της ελληνικής χρηματιστηριακής αγοράς κατά τον δείκτη MSCI. Από hedge funds μέχρι επενδυτικές boutiques και από οίκους ενεργητικής διαχείρισης μέχρι funds παθητικής διαχείρισης ελέγχουν το βαρύ δυναμικό του ελληνικού χρηματιστηρίου, που είναι οι τράπεζες, καθώς η κεφαλαιοποίηση των συστημικών πιστωτικών ιδρυμάτων κινείται στα 50 δισ. ευρώ.
Ευρώπη Λονδίνο και Αμερική, όλοι παρατηρούν το ράλι των ελληνικών τραπεζών, που κυρίως αποδίδεται στην ισχυρή πιστωτική επέκταση, που προάγει μεγάλα κέρδη και ισχυρά μερίσματα. Κάποιοι παλιοί γνώριμοι στα χαρτοφυλάκια των πιστωτικών ιδρυμάτων και κάποιοι νέοι, όλοι πραγματοποιούν τους υπολογισμούς και τις τοποθετήσεις τους.
H εξειδίκευση πολλών από τα funds – όπως η παρατήρηση επενδύσεων με κριτήρια ESG – καταγράφει και τις νέες τάσεις, με τις οποίες οι οίκοι επιλέγουν τις αναπτυγμένες αγορές. Ωστόσο είναι και αρκετοί, που μέχρι το καλοκαίρι θα αναζητήσουν την κατάλληλη περίοδο να αποχωρήσουν από τις συστημικές τράπεζες, οι κεφαλαιοποιήσεις των οποίων έχουν προσφέρει κέρδη χωρίς φειδώ στους μετόχους τους.
Η ανακοίνωση των αποτελεσμάτων του έτους θα κρίνει τις αποφάσεις των διεθνών επενδυτών για τα πιστωτικά ιδρύματα της χώρας. Στις 26 Φεβρουαρίου αποτελέσματα έτους θα ανακοινώσουν Πειραιώς και Eurobank ενώ στις 27 Φεβρουαρίου θα ανακοινώσει η Alpha και η Εθνική. Το επενδυτικό προφίλ των funds είναι αυτό, που θα οριοθετήσει και τις επενδυτικές αποφάσεις.
Oι ελληνικές τράπεζες λοιπόν βρίσκονται σε στενή επαφή με τους παρακάτω οίκους:
Ιlgebris Investments
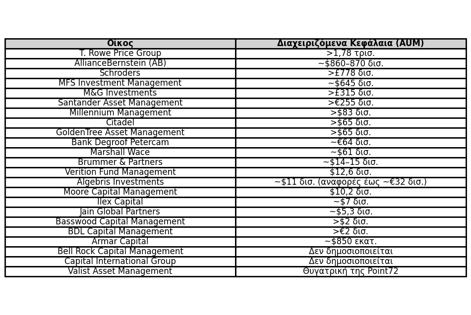
Η Algebris Investments είναι ένας ανεξάρτητος διεθνής οίκος διαχείρισης περιουσιακών στοιχείων που ιδρύθηκε το 2006 στο Λονδίνο από τον Davide Serra. Πρόκειται για επενδυτική boutique με έντονη εξειδίκευση στον παγκόσμιο χρηματοπιστωτικό κλάδο, επενδύοντας σε τράπεζες, ασφαλιστικές εταιρείες και χρηματοοικονομικά ιδρύματα. Παράλληλα έχει επεκτείνει τη δραστηριότητά της σε ομόλογα, μετοχές, μακροοικονομικές στρατηγικές, μη εξυπηρετούμενα δάνεια (NPLs) και επενδύσεις στην πράσινη ενέργεια. Διαχειρίζεται κεφάλαια άνω των 10 δισ. δολαρίων για θεσμικούς και ιδιώτες επενδυτές, με παρουσία σε σημαντικά χρηματοοικονομικά κέντρα όπως Μιλάνο, Ρώμη, Ζυρίχη, Δουβλίνο, Βοστώνη και Σιγκαπούρη. Το 2019 δημιούργησε την Algos για τη διαχείριση ιταλικών NPLs, ενισχύοντας τη θέση της στις εναλλακτικές επενδύσεις. Η φιλοσοφία της βασίζεται στη θεμελιώδη ανάλυση και στη διαχείριση κινδύνου, με στόχο μακροπρόθεσμες αποδόσεις. Η Algebris έχει δείξει ενδιαφέρον και για την ελληνική αγορά, ιδίως στον τομέα των ομολόγων.
AllianceBernstein
Η AllianceBernstein (AB) είναι ένας από τους μεγαλύτερους παγκόσμιους οίκους διαχείρισης επενδύσεων, με έδρα το Νάσβιλ των ΗΠΑ και διεθνή παρουσία. Προέκυψε το 2000 από τη συγχώνευση της Alliance Capital και της Sanford C. Bernstein και σήμερα διαχειρίζεται περίπου 860–870 δισ. δολάρια. Εξειδικεύεται στην ενεργητική διαχείριση, προσφέροντας στρατηγικές σε μετοχές, σταθερό εισόδημα, εναλλακτικές επενδύσεις και multi-asset λύσεις. Εξυπηρετεί θεσμικούς επενδυτές, συνταξιοδοτικά ταμεία και ιδιώτες υψηλής καθαρής θέσης. Ιδιαίτερο χαρακτηριστικό της αποτελεί η ισχυρή ερευνητική της πλατφόρμα και η ενσωμάτωση κριτηρίων ESG στις επενδυτικές αποφάσεις. Η εταιρεία συνδυάζει ποσοτικές και θεμελιώδεις προσεγγίσεις, επιδιώκοντας υπεραπόδοση έναντι των δεικτών αναφοράς. Θεωρείται βασικός «παίκτης» στη διεθνή αγορά asset management, με μακρά εμπειρία στη διαχείριση κινδύνου και στη δημιουργία προσαρμοσμένων επενδυτικών λύσεων.
Armar Capital
Η Armar Capital είναι ένα νεοσύστατο hedge fund με έδρα το Λονδίνο, ιδρυμένο στα τέλη του 2025 από τους Martin Deurell και Gary Lee, πρώην στελέχη της Kersley Street Capital. Πρόκειται για εξειδικευμένο οίκο εναλλακτικών επενδύσεων με επίκεντρο τον ευρωπαϊκό χρηματοπιστωτικό τομέα. Η εταιρεία υποστηρίζεται από σημαντική αρχική χρηματοδότηση, καθώς η Millennium Management έχει δεσμεύσει περίπου 850 εκατ. δολάρια. Η επενδυτική της στρατηγική βασίζεται σε θεμελιώδη ανάλυση και σε επιλεκτικές τοποθετήσεις σε μετοχές και πιστωτικά προϊόντα, με στόχο την παραγωγή απόλυτων αποδόσεων. Ως hedge fund LLP, απευθύνεται κυρίως σε θεσμικούς επενδυτές και οικογενειακά γραφεία. Παρά το σύντομο ιστορικό της, θεωρείται μια από τις πιο σημαντικές νέες πρωτοβουλίες στον χώρο των εναλλακτικών επενδύσεων στο Λονδίνο.
Bank Degroof Petercam
Η Bank Degroof Petercam είναι μια κορυφαία ανεξάρτητη ευρωπαϊκή επενδυτική τράπεζα με έδρα τις Βρυξέλλες, με ιστορία που ανάγεται στο 1871. Προέκυψε από τη συγχώνευση των Bank Degroof και Petercam και δραστηριοποιείται σε private banking, asset management και investment banking. Διαχειρίζεται περίπου €64 δισ. σε περιουσιακά στοιχεία πελατών και εξυπηρετεί εύπορους ιδιώτες, οικογένειες και θεσμικούς επενδυτές. Οι επενδύσεις της καλύπτουν μετοχές, ομόλογα, multi-asset χαρτοφυλάκια και εταιρικές χρηματοδοτήσεις. Η πλειοψηφική εξαγορά της από την Indosuez Wealth Management ενίσχυσε τη διεθνή της παρουσία. Διαθέτει γραφεία σε βασικά ευρωπαϊκά χρηματοοικονομικά κέντρα και στο Χονγκ Κονγκ. Η στρατηγική της δίνει έμφαση στη μακροπρόθεσμη διαχείριση πλούτου, στη βιώσιμη επένδυση και στην εξατομικευμένη εξυπηρέτηση.
Basswood Capital Management
Η Basswood Capital Management είναι αμερικανικό hedge fund με έδρα τη Νέα Υόρκη, ιδρυμένο το 1998 από τους Bennett και Matthew Lindenbaum. Εξειδικεύεται αποκλειστικά στον χρηματοπιστωτικό κλάδο, επενδύοντας σε τράπεζες, ασφαλιστικές και εταιρείες χρηματοοικονομικών υπηρεσιών. Διαχειρίζεται πάνω από $2 δισ. και εφαρμόζει στρατηγικές equity long/short και long-only, βασισμένες σε ενδελεχή θεμελιώδη ανάλυση. Η εταιρεία είναι employee-owned και απευθύνεται κυρίως σε θεσμικούς επενδυτές και family offices. Η επενδυτική της φιλοσοφία εστιάζει στη βαθιά κατανόηση ισολογισμών και ρυθμιστικών πλαισίων. Είναι εγγεγραμμένη στην SEC και θεωρείται εξειδικευμένος παίκτης στον τραπεζικό τομέα.
BDL Capital Management
Η BDL Capital Management είναι ανεξάρτητος γαλλικός οίκος asset management με έδρα το Παρίσι, ιδρυμένος το 2005. Εστιάζει στις ευρωπαϊκές μετοχές και διαχειρίζεται άνω των €2 δισ. Η εταιρεία διαθέτει ισχυρή αναλυτική ομάδα και εφαρμόζει στρατηγικές long/short, long-only και ESG. Τα βασικά της funds συνδυάζουν θεμελιώδη ανάλυση με ποσοτικές μεθόδους. Εξυπηρετεί θεσμικούς και ιδιώτες επενδυτές, επιδιώκοντας μακροπρόθεσμη υπεραπόδοση. Υπό την ηγεσία των Thierry Dupont και Hughes Beuzelin, η BDL έχει χτίσει φήμη για πειθαρχημένη επιλογή μετοχών και αυστηρή διαχείριση κινδύνου.
Bell Rock Capital Management
Η Bell Rock Capital Management LLP είναι λονδρέζικο hedge fund που εστιάζει σε equity market neutral και merger arbitrage στρατηγικές. Ιδρύθηκε γύρω στο 2010 και δραστηριοποιείται σε δημόσιες αγορές με ισχυρή έμφαση στη θεμελιώδη έρευνα. Η εταιρεία επιδιώκει χαμηλή συσχέτιση με τις αγορές και απόλυτες αποδόσεις. Διαθέτει ομάδα περίπου 50 επαγγελματιών και απευθύνεται σε θεσμικούς επενδυτές. Πρώην γνωστή ως De Putron Fund Management, έχει αναπτύξει εξειδίκευση σε πολύπλοκες εταιρικές συναλλαγές.
Brevan Howard
Η Brevan Howard είναι κορυφαίο global macro hedge fund, ιδρυμένο το 2002 από τον Alan Howard. Με έδρες σε Λονδίνο, Νέα Υόρκη και Άμπου Ντάμπι, διαχειρίζεται δισεκατομμύρια δολάρια σε μακροοικονομικές στρατηγικές, επιτόκια, νομίσματα και ψηφιακά assets. Απασχολεί πάνω από 1.000 άτομα και είναι γνωστή για αυστηρή διαχείριση κινδύνου. Εξυπηρετεί θεσμικούς επενδυτές παγκοσμίως και θεωρείται από τους σημαντικότερους macro managers.
Brummer & Partners
Η Brummer & Partners είναι σουηδικός multi-strategy hedge fund manager με έδρα τη Στοκχόλμη (1995). Διαχειρίζεται $14–15 δισ. μέσω ανεξάρτητων επενδυτικών ομάδων σε long/short equity, quant και macro στρατηγικές. Το flagship fund της επιδιώκει διαφοροποίηση και απόλυτες αποδόσεις. Διατηρεί διεθνή παρουσία και παρέχει υποδομές και risk management στις ομάδες της.
Capital International Group
Το Capital International Group είναι ιδιωτικός πάροχος χρηματοοικονομικών υπηρεσιών με έδρα τη Νήσο του Μαν (1996). Προσφέρει επενδυτικές πλατφόρμες, discretionary asset management και τραπεζικές υπηρεσίες σε εύπορους ιδιώτες και επιχειρήσεις. Έχει παρουσία σε Jersey και Νότια Αφρική. Εστιάζει σε διεθνή χαρτοφυλάκια πολλαπλών περιουσιακών στοιχείων.
Citadel
Η Citadel LLC είναι ένα από τα μεγαλύτερα hedge funds παγκοσμίως, ιδρυμένο το 1990 από τον Ken Griffin με έδρα το Μαϊάμι. Διαχειρίζεται πάνω από $65 δισ. μέσω πολυστρατηγικής προσέγγισης σε μετοχές, credit, macro και quant. Η θυγατρική Citadel Securities είναι κορυφαίος market maker. Η εταιρεία είναι γνωστή για τεχνολογική υπεροχή και αυστηρή διαχείριση κινδύνου.
GoldenTree Asset Management
Η GoldenTree είναι ανεξάρτητος παγκόσμιος asset manager με έδρα τη Νέα Υόρκη (2000), εξειδικευμένος στο credit. Διαχειρίζεται πάνω από $65 δισ. σε high-yield bonds, loans και distressed debt. Είναι employee-owned και εξυπηρετεί θεσμικούς επενδυτές. Διαθέτει διεθνή γραφεία και ισχυρή παρουσία στις αγορές πιστώσεων.
Ilex Capital
Η Ilex Capital είναι λονδρέζικο equity market neutral hedge fund, ιδρυμένο από πρώην στελέχη της Citadel. Διαχειρίζεται περίπου $7 δισ. και εστιάζει σε διαφοροποιημένες single-stock στρατηγικές. Θεωρείται επιτυχημένο startup hedge fund με αυστηρό risk management.
Jain Global Partners
Η Jain Global είναι multi-strategy hedge fund με έδρα τη Νέα Υόρκη (2024), ιδρυμένη από τον Bobby Jain. Ξεκίνησε με $5,3 δισ. και δραστηριοποιείται σε equities, credit, macro και commodities. Διαθέτει παγκόσμια παρουσία και εξυπηρετεί μεγάλους θεσμικούς επενδυτές.
M&G Investments
Η M&G Investments είναι ιστορικός βρετανικός asset manager (1931) με έδρα το Λονδίνο. Διαχειρίζεται πάνω από £315 δισ. σε μετοχές, ομόλογα, real estate και private assets. Ανήκει στην εισηγμένη M&G plc και συνεργάζεται με ελληνικές τράπεζες.
Marshall Wace
Η Marshall Wace είναι κορυφαίο hedge fund με έδρα το Λονδίνο (1997). Διαχειρίζεται περίπου $60+ δισ. σε equity long/short στρατηγικές, συνδυάζοντας θεμελιώδη ανάλυση και συστημικά μοντέλα όπως το MW TOPS.
MFS Investment Management
Η MFS είναι από τους παλαιότερους asset managers (1924, Βοστώνη) και διαχειρίζεται περίπου $645 δισ. Εξειδικεύεται σε ενεργητική διαχείριση μετοχών και ομολόγων για θεσμικούς και ιδιώτες.
Millennium Management
Η Millennium είναι πολυστρατηγικό hedge fund με έδρα τη Νέα Υόρκη (1989), ιδρυμένο από τον Israel Englander. Διαχειρίζεται πάνω από $80 δισ. μέσω εκατοντάδων επενδυτικών ομάδων παγκοσμίως.
Moore Capital Management
Η Moore Capital είναι global macro hedge fund (1989) με έδρα τη Νέα Υόρκη. Επενδύει σε μετοχές, ομόλογα και μακροοικονομικές στρατηγικές για θεσμικούς επενδυτές.
Point72 Asset Management
Η Point72 είναι πολυστρατηγικό hedge fund του Steven Cohen (2014), με πάνω από $35 δισ. AUM. Δραστηριοποιείται σε equities, quant, macro και venture capital, με παγκόσμια παρουσία.
Santander Asset Management
Η Santander AM είναι ο asset management βραχίονας του Banco Santander. Διαχειρίζεται πάνω από €255 δισ. και δραστηριοποιείται σε Ευρώπη και Λατινική Αμερική, προσφέροντας multi-asset και ESG λύσεις.
Schroder Investment Management
Η Schroders είναι βρετανικός asset manager (1804) με έδρα το Λονδίνο και AUM άνω των £770 δισ. Επενδύει σε μετοχές, ομόλογα και private markets, με παγκόσμια παρουσία.
T. Rowe Price
Η T. Rowe Price είναι αμερικανικός επενδυτικός κολοσσός (1937, Βαλτιμόρη) με AUM περίπου $1,78 τρισ. Εξειδικεύεται στην ενεργητική διαχείριση και στα growth investments.
Valist Asset Management
Το Valist AM είναι θυγατρική της Point72 (2025), εστιασμένη σε sector-aligned equity investing. Στόχος της είναι βαθύτερη έρευνα και αυτονομία ομάδων.
Verition Fund Management
Η Verition είναι multi-strategy hedge fund (2008) με έδρα το Κονέκτικατ. Δραστηριοποιείται σε credit, macro και equity strategies με διεθνή παρουσία.

Διαβάστε ακόμη
Πεπτίδια: Φρενίτιδα για το «μαγικό» συστατικό
JPMorgan: Υπερβολικοί οι φόβοι για τις software stocks από την τεχνητή νοημοσύνη
Οι νέες τσάντες-αριστουργήματα από τη Μαίρη Κατράντζου για τον οίκο Bvlgari
Για όλες τις υπόλοιπες ειδήσεις της επικαιρότητας μπορείτε να επισκεφτείτε το Πρώτο Θέμα
Σχολίασε εδώ
Για να σχολιάσεις, χρησιμοποίησε ένα ψευδώνυμο.