Τα τελευταία διαθέσιμα στοιχεία για το 2025 καταδεικνύουν ότι ο ελληνικός τουρισμός διατηρεί τη δυναμική του σε επίπεδο αφίξεων και εσόδων. Σύμφωνα με τα προσωρινά στοιχεία της Τράπεζας της Ελλάδος, οι τουριστικές εισπράξεις στο εννεάμηνο Ιανουαρίου-Σεπτεμβρίου 2025 ξεπέρασαν τα 20,1 δισ. ευρώ, καταγράφοντας αύξηση περίπου 9% σε σύγκριση με την αντίστοιχη περίοδο του 2024. Την ίδια στιγμή, οι αφίξεις ξένων επισκεπτών έως τον Αύγουστο του 2025 ανήλθαν σε περίπου 24,9 εκατομμύρια, αυξημένες κατά περίπου 4,1% σε σχέση με το προηγούμενο έτος.
Ωστόσο, πίσω από τη θετική εικόνα των συνολικών μεγεθών, αναδεικνύονται σημαντικές ποιοτικές μεταβολές. Η Τράπεζα της Ελλάδος επισημαίνει ότι η μέση δαπάνη ανά ταξίδι μειώθηκε κατά περίπου 7,8% τον Σεπτέμβριο, παρά τη μεγαλύτερη εισερχόμενη κίνηση, ενώ η μέση διάρκεια παραμονής διαμορφώθηκε στις 4,9 ημέρες τον Ιούλιο του 2025, γεγονός που υποδηλώνει τάση για συντομότερες επισκέψεις.
Αυξημένη διαθεσιμότητα προς πώληση σε θερινούς προορισμούς
Αξίζει να σημειωθεί ότι ήδη από την αρχή της θερινής περιόδου καταγράφηκε σημαντική αύξηση της προσφοράς ξενοδοχειακών μονάδων και τουριστικών καταλυμάτων προς πώληση. Σύμφωνα με δημοσιευμένη έρευνά μας, τον Μάιο του 2025 αναρτήθηκαν, μέσα σε διάστημα μόλις 30 ημερών, 323 νέες αγγελίες πώλησης ξενοδοχειακών μονάδων και τουριστικών καταλυμάτων, έναντι 286 αγγελιών το 2024 και 204 αγγελιών το 2023.
Η αυξημένη αυτή διαθεσιμότητα για τρίτη συνεχόμενη χρονιά στους θερινούς προορισμούς χαρακτηρίζεται από την αγορά ως «έκπληξη», καθώς ιστορικά η πώληση ξενοδοχειακών μονάδων σε περιόδους αυξημένης ζήτησης ήταν περιορισμένη. Αν και κάθε χρόνο πραγματοποιούνται αγοραπωλησίες μονάδων όλων των κατηγοριών – από ξενοδοχεία 5 αστέρων έως μικρές οικογενειακές επιχειρήσεις – είναι σπάνιο να καταγράφεται τόσο μεγάλος αριθμός αναρτημένων αγγελιών σε ανοιχτές πλατφόρμες.
Σημειώνεται δε ότι ένα σημαντικό ποσοστό των μονάδων που διατίθενται προς πώληση δεν εμφανίζεται δημοσίως σε ιστοσελίδες αγγελιών, γεγονός που σημαίνει ότι η πραγματική διαθεσιμότητα είναι πιθανότατα ακόμη μεγαλύτερη.
Περίπου 200 ξενοδοχεία και τουριστικά καταλύματα προς πώληση σε δημοφιλείς χειμερινούς προορισμούς
Η φετινή χειμερινή σεζόν ξεκίνησε με ιδιαίτερα θετικά μηνύματα για τον κλάδο. Κατά το τριήμερο της 28ης Οκτωβρίου, οι πληρότητες στους δημοφιλείς χειμερινούς προορισμούς άγγιξαν το 100%, τόσο σε ξενοδοχειακές μονάδες όσο και σε καταλύματα βραχυχρόνιας μίσθωσης. Παράλληλα, καταγράφονται υψηλά ποσοστά προκρατήσεων για την περίοδο των Χριστουγέννων και της Πρωτοχρονιάς.
Η χειμερινή τουριστική περίοδος στην Ελλάδα ξεκινά συνήθως από τα τέλη Οκτωβρίου και διαρκεί έως τα μέσα ή τέλη Φεβρουαρίου, με κορύφωση την περίοδο των εορτών, των Θεοφανίων και τα διήμερα – τριήμερα από τα μέσα Νοεμβρίου έως τα τέλη Ιανουαρίου. Βασικό χαρακτηριστικό του ελληνικού χειμερινού τουρισμού παραμένει η έντονη εποχικότητα.
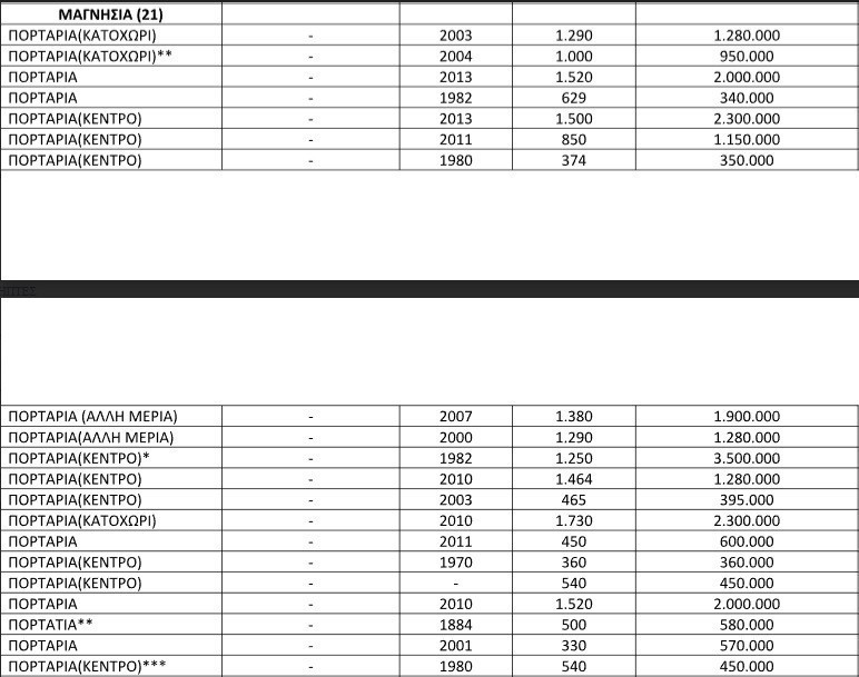
Παρά τα ενθαρρυντικά στοιχεία ζήτησης, καταγράφεται σημαντική αύξηση της προσφοράς μονάδων προς πώληση. Συγκεκριμένα, 128 ξενοδοχεία και τουριστικά καταλύματα σε δημοφιλείς χειμερινούς προορισμούς έχουν αναρτηθεί προς πώληση σε ιστοσελίδες αγγελιών, έναντι 80 μονάδων την αντίστοιχη περίοδο του 2024.
Αναλυτικά, τη φετινή χρονιά έχουν καταγραφεί 31 αγγελίες στην Αράχωβα (30 το 2024, 14 το 2023), 16 στα Καλάβρυτα (13 το 2023), 14 στο Καρπενήσι (23 το 2024, 7 το 2023), 24 στην Πορταριά (17 το 2024, 14 το 2023), 23 στην Αρκαδία (16 το 2024, 8 το 2023), 64 στην Ήπειρο (13 το 2024, 7 το 2023), εκ των οποίων 15 στα Ιωάννινα, 6 στη Βέροια (4 το 2024, 5 το 2023), 9 στη Νάουσα, 3 στη Φλώρινα και 15 στα Γρεβενά.
Τα στοιχεία αυτά αποτυπώνουν αύξηση της τάξης του 56% στη διαθεσιμότητα ξενοδοχειακών μονάδων και τουριστικών καταλυμάτων προς πώληση σε σχέση με το 2024, ενώ το 2023 την ίδια περίοδο είχαν καταγραφεί συνολικά 80 αγγελίες.
Μικρές οικογενειακές μονάδες στο επίκεντρο
Η μεγαλύτερη διαθεσιμότητα αφορά κυρίως μονάδες μικρότερης κατηγορίας, από 10 έως 30 δωμάτια, οι οποίες λειτούργησαν επί δεκαετίες σε οικογενειακή βάση και αποτέλεσαν βασικό πυλώνα της μικρομεσαίας επιχειρηματικότητας και της τοπικής οικονομίας.
Σύμφωνα με επαγγελματίες του κλάδου, η συνολική δυναμικότητα φιλοξενίας στους ορεινούς προορισμούς δεν υπερβαίνει τις 100.000 κλίνες. Υπό αυτό το πρίσμα, το γεγονός ότι δεκάδες ξενοδοχειακές μονάδες και τουριστικά καταλύματα διατίθενται προς πώληση μόνο στους δημοφιλείς ορεινούς προορισμούς δεν μπορεί να θεωρηθεί αμελητέο.
Παράγοντες που οδηγούν στην πώληση
Η απόφαση πώλησης δεν οφείλεται σε έναν μόνο λόγο, αλλά σε έναν συνδυασμό παραγόντων. Στους βασικούς περιλαμβάνονται οι οικονομικές εκκρεμότητες των επιχειρηματιών, οι διαδοχικές κρίσεις των τελευταίων ετών, τα δάνεια και οι ρυθμίσεις, καθώς και το αυξημένο ενεργειακό κόστος, το οποίο σε συνδυασμό με τον πληθωρισμό και τις ανατιμήσεις στην εφοδιαστική αλυσίδα έχει συμπιέσει τα εισοδήματα και έχει αυξήσει τα λειτουργικά έξοδα.
Παράλληλα, επιβαρυντικά λειτουργούν η έντονη εποχικότητα, η μειωμένη προσβασιμότητα, η κυριαρχία του αεροπλάνου ως βασικού μέσου μετακίνησης, το μη ικανοποιητικό επίπεδο υποστηρικτικών υπηρεσιών, οι ελλείψεις σε ειδικές τουριστικές υποδομές, καθώς και η ανάγκη αναβάθμισης της προβολής των ορεινών προορισμών στις διεθνείς αγορές.
Η πρόκληση του χειμερινού τουρισμού
Η καθιέρωση της Ελλάδας ως τουριστικού προορισμού τεσσάρων εποχών αποτελεί διαχρονικό στόχο. Ωστόσο, η ανάπτυξη του χειμερινού τουρισμού παραμένει ιδιαίτερα απαιτητική, κυρίως λόγω της απουσίας οργανωμένης και συνεκτικής τουριστικής πολιτικής.
Η βιώσιμη ανάπτυξη του ορεινού χώρου προϋποθέτει την προστασία των φυσικών πόρων, την αναβάθμιση και ανάδειξη επιλεγμένων σημείων ενδιαφέροντος, τη βελτίωση της προσβασιμότητας (ιδίως του οδικού δικτύου), τη δημιουργία τοπικών πολυθεματικών δικτύων, την αξιοποίηση του οικιστικού αποθέματος και την ουσιαστική προβολή των προορισμών.
Τέλος, κρίσιμη παράμετρος για την ανάπτυξη του χειμερινού τουρισμού αποτελεί η ενίσχυση του εξωτερικού τουρισμού. Σήμερα, η Ελλάδα υστερεί σε γενικές υποδομές και παρουσιάζει υψηλότερο κόστος παροχής υπηρεσιών σε σχέση με ανταγωνιστικές γειτονικές χώρες, γεγονός που περιορίζει την ελκυστικότητά της στις διεθνείς αγορές.
Η αναβάθμιση του τουριστικού προϊόντος και η στοχευμένη προβολή της χώρας στο εξωτερικό αποτελούν βασικές προϋποθέσεις για την αντιστροφή αυτής της εικόνας.






*Θεμιστοκλής Μπάκας: Πρόεδρος Πανελλαδικού Δικτύου E-Real Estates
Διαβάστε ακόμη
Ηλεκτρονικές αποδείξεις: Τι πρέπει να κλείσει μέχρι τέλος 2025 για να μην έρθει καπέλο φόρου
Αγρότες: Συνεχίζεται και σήμερα το άνοιγμα διοδίων – Παραμένουν στα μπλόκα τα τρακτέρ (vid)
Teiichi Goto (Fujifilm Holdings Corporation): «Πιστεύω ότι η Ελλάδα έχει ένα πολύ λαμπρό μέλλον»
Για όλες τις υπόλοιπες ειδήσεις της επικαιρότητας μπορείτε να επισκεφτείτε το Πρώτο Θέμα
Σχολίασε εδώ
Για να σχολιάσεις, χρησιμοποίησε ένα ψευδώνυμο.